根据《Beat365唯一官方网站高等学历继续教育学生学籍管理的规定》,Beat365官网2016级及以前在籍学生全部超过本院规定的最长有效学籍年限。为了规范管理,现按规定对张婷等334名学生拟做出学籍注销处理。
拟注销处理学生依法享有陈述、申辩的权利。如要求陈述、申辩,应当自本公告发布之日起3个月内(2021年11月26日~2022年2月26日)向Beat365唯一官方网站提出,逾期未提出的,视为放弃此项权利,视为对学校的学籍处理无异议。
由于时间久远,学生地址与联系方式不详,此公告视为唯一送达方式,公告之日起即视为全部送达。
联系人:李老师,姚老师
电话:82330322
特此公告。
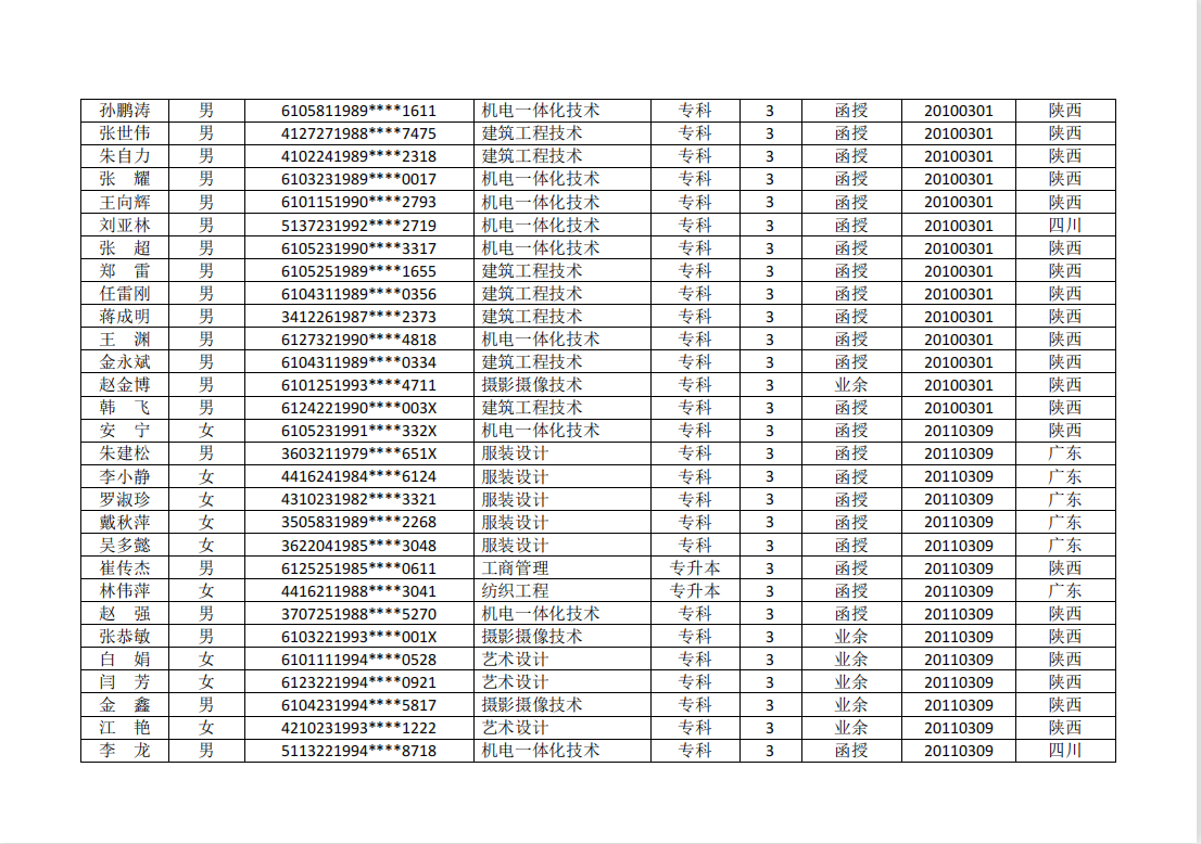
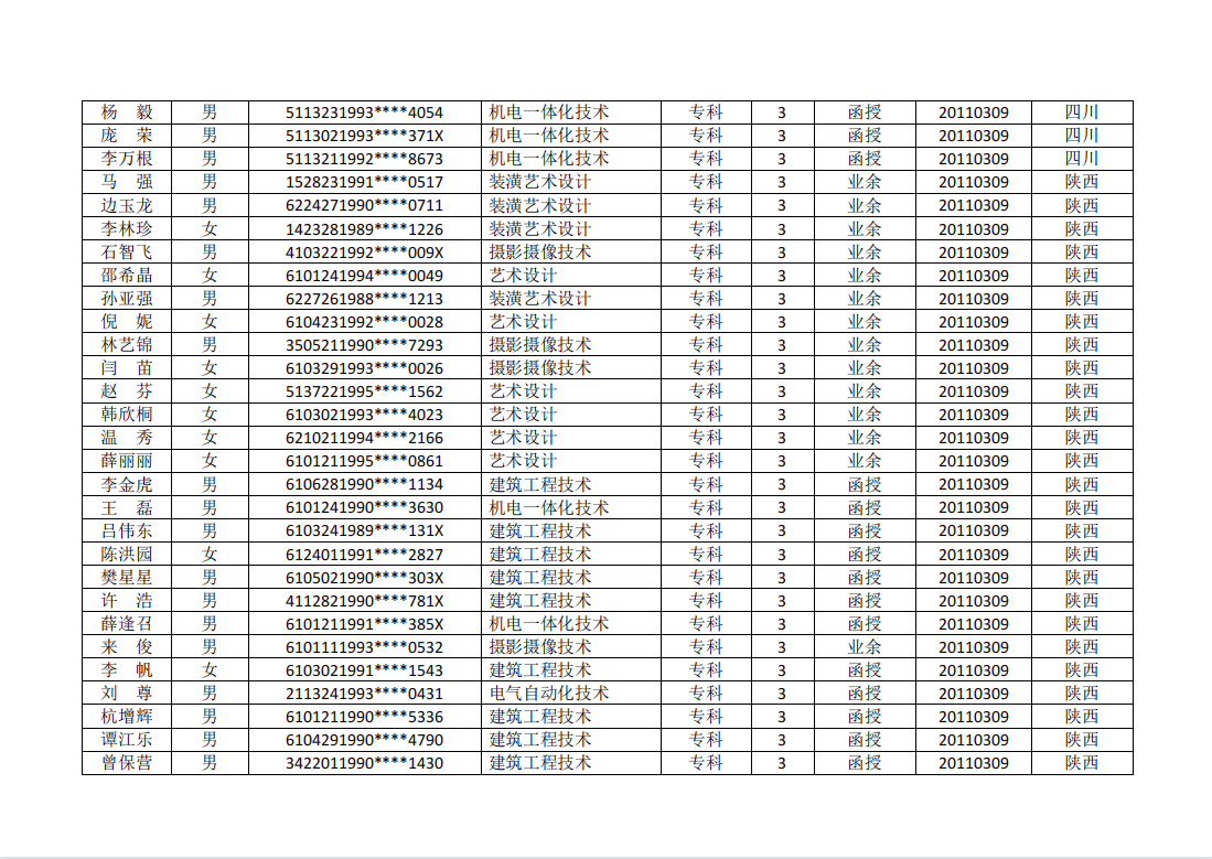
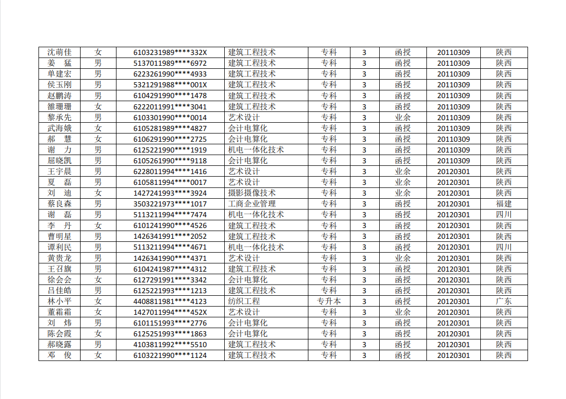
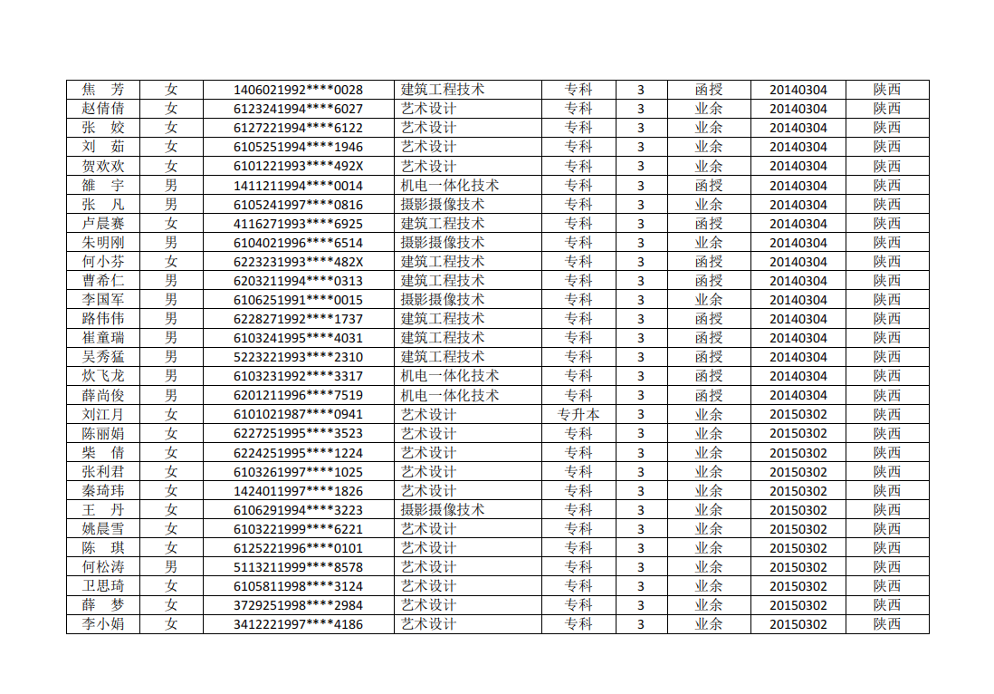
附件:张婷等334名学生基本信息。












Beat365唯一官方网站
2021年11月26日